Featured Product
●主要技術
1.合成反応
酸化エチレン付加反応
- アルコールのEO付加反応

- アミンのEO付加反応

- チオールのEO付加反応

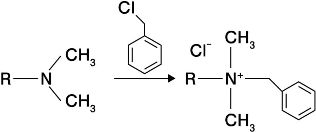
トリメチルアミン誘導体
- トリメチルアミン塩のEO付加反応

- コリン誘導体の合成

クロル化反応(塩化チオニル等による)
- アルコールの塩素化

エピクロルヒドリン誘導体
ベンジル化反応
- アミンの四級ベンジル化

芳香族-ホルマリン縮合反応
ラジカル重合反応(水、溶剤系)
2.製造技術
- 減圧から加圧反応(〜0.35MPa,3.5kg/cm²)
- 晶出、濾過、乾燥
- 蒸留
- 精密濾過
- 粉体乾燥
- 粉体混合
3.分析・試験機器
- 原子吸光分光光度計(フレームレス)
- 分光光度計(可視、紫外、赤外)
- ガスクロマトグラフィー
- ガスクロマトグラフィー質量分析装置(GC/MS)
- 速液体クロマトグラフィー
- カール・フィシャー水分計
- 電位差自動滴定装置
- ケルダール窒素分析装置
4.合成実験反応器
- ガラスーハステロイ
- :300ml(1.0MPa,10kg/cm²以下)
- ステンレス
- :500、1000、1500、5,000ml(1.0MPa,10kg/cm²以下)
Product Summary
●製品概要
-
各種界面活性剤
界面活性剤とは、ある原料を水に馴染みやすくしたり、油に馴染みやすくしたりする働きを持つ物質です。当社では、金属表面の油や汚れを洗浄するための表面処理剤、シャンプーやリンスなどに含まれる原料などを開発・製造しています。
-
精密化学薬品
精密化学薬品のひとつである医薬品中間体は薬そのものではありませんが、医薬原薬(医薬品の有効成分)への製造工程における必須かつ重要な製品です。当社では、医薬品の原料となる医薬中間体や染料中間体、また半導体製造用薬品などの精密化学品を開発製造し、未来の新薬開発や医薬品製造の現場を支えています。
-
樹脂改質剤
プラスチックあるいは合成樹脂と呼ばれる素材は、普段の生活のあらゆる場面で使用されています。 当社はその機能を高めるものとして、いくつかのプラスチック原料を製造しています。また、ポリウレタンフォームの添加剤も製造しております。
-
繊維薬品
創業以来の商品で、様々な用途に使用されています。繊維を洗い繊維の汚れや油類を落とす薬品や染め上がりの斑を防ぐ薬品、染色物の色落ちを防ぐ薬品などがあります。大部分は界面活性剤と呼ばれる種類のものです。今日の多様化した衣飾文化の目に見えないところで活躍しています。
Facilities
●生産設備
→ 横にスクロールしてください
| 工程 | 材質 | 形式 | 容量(L) | 数量 | 工場 | 備考 |
|---|---|---|---|---|---|---|
| 反応 | SUS | ~0.35MPa, 3.5Kg/cm² | 10,000 | 1 | 本社 | 酸化エチレン反応(〜150℃) |
| 10,000 | 1 | 群馬 | ||||
| ~0.35MPa, 3.5kg/cm² | 10,000 | 1 | 群馬 | 酸化エチレン・TMA・エピクロロヒドリン 反応(-10〜150℃) |
||
| ~0.35MPa, 3.5kg/cm² | 5,500 | 1 | 本社 | 酸化エチレン反応(〜150℃) | ||
| 3,000 | 1 | 酸化エチレン反応(-10℃〜150℃) | ||||
| GL | ~0.35MPa, 3.5kg/cm² | 6,000 | 1 | 本社 | 酸化エチレン反応(-10℃〜150℃) | |
| 2,000 | 1 | 酸化エチレン反応(〜150℃) | ||||
| 10,000 | 1 | 群馬 | 酸化エチレン・TMA・エピクロロヒドリン反応(-10℃〜150℃) | |||
| 減圧 | 5,000 | 2 | 群馬 | クロル化反応、排ガス吸収 | ||
| 4,000 | 2 | 本社 | 多目的 | |||
| 常圧 | 10,000 | 1 | 群馬 | 多目的 | ||
| SUS | 常圧 | 3,000 | 1 | 群馬 | 排ガス吸収 | |
| GL | 常圧 | 2,000 | 1 | 群馬 | 多目的 | |
| 1,000 | 1 | |||||
| SUS | 常圧 | 3,400 | 1 | 群馬 | 多目的 | |
| 3,000 | 1 | |||||
| 500 | 1 | |||||
| 蒸留 | GL | 減圧 | 6,000 | 1 | 本社 | 水エジェクター |
| 4,000 | 1 | 水エジェクター | ||||
| 常圧 | 15,000 | 1 | 受器 | |||
| 4,000 | 1 | 多目的 | ||||
| SUS | 減圧 | 2,000 | 1 | 本社 | 6段、〜10mmHg、〜150℃ | |
| 濾過 | SUS | 加圧 | 30 | 1 | 本社 | 熱濾過器(2.5m²) |
| 50 | 2 | リーフ形(5m²) | ||||
| ゴムライニング | 50 | 2 | リーフ形(5m²) | |||
| 50 | 1 | 群馬 | リーフ形(5m²) | |||
| 遠心分離 | SUS | 底排形 | 287 | 1 | 本社 | |
| チタン | 170 | 1 | 耐酸性 | |||
| 乾燥 | SUS | 流動層 | 1 | 本社 | 200kg/h | |
| GL | 減圧 | 2,000 | 1 | コニカルドライヤー | ||
| 混合 | SUS | 2,000 | 1 | 群馬 | 粉体混合(リボンブレンダー) | |
| 加熱、冷却 | 7,000 | 1 | ||||
| 1,900 | 1 | |||||
| 3,000 | 1 | |||||
| 2,500 | 1 | ホモジナイザー | ||||
| その他 | SUS | ドラム式 | 1 | 本社 | フレーカー(1m³) | |
| 2 | シーラー | |||||
| 1 | 純水製造装置 | |||||
| 1 | 群馬 | 純水製造装置 |








